Analysis of Time-Resolved Crystallographic Data

Highlights from a 1996 thesis

Please cite this article as:
Krebs, W.G., "Kinetic Analysis and Intermediate Structure Determination From High-Speed Time-Resolved Crystallography," MS Thesis, University of Chicago, 1996.
and
Krebs, W.G., and Moffat, K., "Analysis of Time-Resolved Crystallographic Data", HTML document, http://bioinfo.csb.yale.edu/~wkrebs/paper1/paper1.doc.

Werner G. Krebs* under supervision of Keith Moffat
Department of Biochemistry and Molecular Biology
The University of Chicago
920 E. 58th St. Chicago, IL 60637, USA.

Last Revision: May 1997.

*Present Address: San Diego Supercomputer Center Dept 0505, University of California, San Diego, 9500 Gilman Drive, La Jolla, CA 92093-0505, USA; email wgk@wernergkrebs.com.


Table of Contents


Abstract

Despite the very recent availability of Time-Resolved Crystallography (TC) data sets, the promise of TC remains largely unfulfilled due to the difficulty in extracting structural information on intermediates from time-resolved electron density maps. These maps are only composites of the electron density maps of the populated chemical species present at the experimental time points. Although various schemes of extracting homogeneous structures from TC data sets have been proposed, to date no structures have been determined. In this paper we present novel methods for estimating these parameters directly from a TC data set.


1. Introduction

Crystallographers have traditionally applied several techniques to obtain detailed structural information on reaction intermediates. The most common approach has been to design a series of stable structures that mimic normally short-lived intermediates. However, these structures are stable precisely because they are not identical to the intermediates they seek to mimic, and key interactions are usually missing. Other experimental techniques and chemical intuition are called upon to supply the missing information, sometimes with only limited success.

Cryocystallography is a second, widely-used approach (Douzou and Petsko, 1984; Fink and Petsko, 1981; Makinen and Fink, 1977). Suitable adjustment of temperature may alter the population and greatly prolong the lifetimes of the intermediates, and thus allow their structures to be determined by otherwise conventional crystallographic techniques. However, it may be difficult to demonstrate that the trapped intermediates lie on the direct, productive pathway at physiological temperatures.

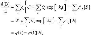
Time-resolved Crystallography (TC), a complementary approach, uses an intense synchrotron X-ray source to greatly reduce crystallographic exposure times. The uses of synchrotron radiation in X-ray diffraction experiments in macromolecular crystallography have been reviewed (Greenhough and Helliwell,1983; Helliwell 1984; Helliwell, 1985). TC has the potential to offer detailed structural information on short-lived intermediates in macromolecular reactions under near-physiological, crystalline conditions, and this aids elucidation of the underlying molecular mechanisms. Interpretation of TC data has been hindered, in part due to the difficulty in extracting structural information on intermediates from time-resolved electron density maps. Under certain assumptions, these maps are weighted averages of the electron density maps of the different structural species present at the experimental time points. That is, these time-dependent electron density maps are structurally heterogeneous. Moffat (1989) has proposed a strategy for extracting homogeneous structures from time-resolved data sets, but this strategy has not yet been experimentally tested.

Estimates are required of the time-dependent relative concentrations and number of significantly populated, structurally distinct species (mathematical components) represented in the TC data set, and a kinetic model for the key intermediates must be developed. We previously relied on optical data obtained on single crystals to generate the required model, with limited success. Since the optical data need not exactly parallel the X-ray data (Ng et al.,1995), it is clearly preferable to develop the kinetic model and its associated parameters directly from the TC data. We present here novel methods in reciprocal space that identify the number of structurally distinct species present, the rate constants for their interconversion, and possible kinetic models. In another paper, we apply these methods to successfully extract structural information from a TC data set acquired during decay from the saturated photostationary state of photoactive yellow protein, PYP (Krebs 1996).


2. Principles of TC Data Analysis: Extraction of Conformational Structure Information from TC Data in Reciprocal Space

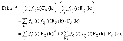
In both conventional crystallography and TC, X-ray diffraction intensities arise from a time average over all molecular conformations that exist during an exposure time between and and from a volume average over all molecules illuminated. The volume average is taken over all the molecules in the crystal and is effectively constant, but in a TC experiment the conformations vary with time. Following Moffat (1989), we assume that at time t after initiation of a structural reaction the crystal contains a series of time-independent conformations C1, C2, C3, ..., Ci, ..., with time-dependent fractional occupancies and structure factors for the reflection . If the crystal exhibits random substitutional disorder, that is, conformations Ci are distributed spatially at random in the real lattice, then the distribution of Ci may be described as the convolution of the electron density of the conformation Ci with a randomly sparse real lattice. The distribution of conformations in the entire crystal is the sum over i of such convolutions, and the total structure factor is then given by

1

for each reflection at time , and for all values of . Figure 1 illustrates Equation 11 diagrammatically for one reflection.

Also,

2

where we represent structure factors as two-dimensional, real-valued vectors , is the structure factor amplitude of the reflection at time , and is the structure factor amplitude of the reflection corresponding to the time-independent conformation Ci.

If the values of and are known for sufficiently many time points , Equation 2 can be solved for the right-hand real-valued parameters and for all Ci,j by any suitable method for solution of non-linear equations. The values of are derived directly from the observed intensities in the reduced TC data sets. The values of can potentially be derived from a number of sources, including subsidiary optical measurements taken concurrently with the TC data (Ng et al., 1995), and by the analytical methods we present below. In practice, it appears effective to use a variant of non-linear least-squares optimization with suitable constraints applied on the values of and .

The values of thus determined are the desired time-independent structure factor amplitudes of the conformations Ci, and may be combined with known phase data for one of the conformations to yield the desired conformations Ci by standard difference Fourier techniques. Such techniques neglect small differences in phase between conformations. If the dot product parameters in Equation 2 are known, techniques described in Appendix 4 sometimes enable phase relationships to be determined more precisely. Consequently, the time-independent structures can be determined provided the s can be accurately derived.

The time dependence of the relative concentrations s of a first-order reaction scheme with components are determined by a system of rate constant parameters plus initial relative concentration parameters, of which are independent. Thus derivation of a kinetic model potentially requires determination of parameters in order to calculate relative concentrations for the time-points in Equation 4. In practice, an over-determined system with time-points is required to solve Equation 4, so that our method is at least as efficient as direct measurement of the s in terms of the number of parameters that need be estimated.

Most few-component systems have considerably fewer than rate constants because a number of potential reaction pathways between the system components can be ruled out by an a priori knowledge of the system chemistry. For example, in the case of PYP the native structure is stable (Ng et al. 1995), and appears to consist of only one structurally homogenous conformation, the ground state. On the basis of this stability, two of the six potential reaction pathways can immediately be ruled out, and the number of parameters needing estimation is reduced further.

Recall from Appendix 1 that under certain assumptions global exponential fitting can be applied to crystallographic data (Moffat, 1989) as a first step in the analytic determination of the values of the s. This is done by substituting Equation 14 of Appendix 1 into Equation 2 and obtaining:

3

where the new parameters are the pre-exponential vectors and associated real-valued dot-products . where the are real-valued constants invariant over time , while the parameters are invariant over both reflections and time .

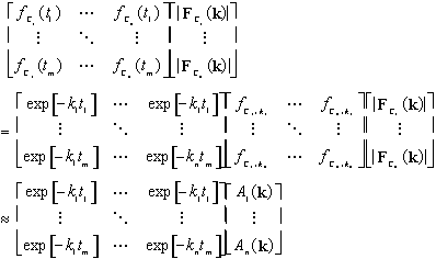
By taking advantage of the large number of observations in a typical crystallographic data set, it is possible to determine both the and parameters in Equation 3. An iterative approach is used that performs successive improvements to the estimated s. Given the estimated s from the previous iteration of the method, for any reflection Equations 2 and 3 form systems of equations over the time-points in the TC data set. By using an appropriate solution technique such as constrained LS optimization or SVD, the values of the or can be computed in Equations 2 or 3 respectively for each reflection , provided the number of values to be solved for does not exceed the number of available time-points .

Due to experimental errors in the data and in the initial values of the s, the fit obtained will not be perfect. The remaining errors can be aggregated over all reflections in the data set and used as a figure-of-merit value for the estimated s. A standard multidimensional optimizer such as the Powell conjugate gradient methods (Press et al., 1992), can use this information to find successive improvements on the s. The end result of this procedure is that optimum values for the exponential constants and pre-exponential constants are determined. The use of this technique is illustrated in Figure 3.

An obvious candidate for such a figure-of-merit function is simply the aggregate sum of the figures-of-merit obtained in the fitting of each reflection . Unfortunately, this choice has a statistical disadvantage that is seen in regression analyses of a similar nature (Brunger, 1992): the individual summation terms were already optimized during the reflection fitting, so little new information is added by this choice of global figure-of-merit. In addition, we encountered a more practical problem derived from the standard errors in the sigmas associated with each of the observed structure factor amplitudes from the LaueView (Ren and Moffat, 1995) output. These problems are overcome by using techniques such as statistical cross-validation.


3. Computationally Useful Linear Approximations

Linear approximations of Equations 2 and 3 which are very useful computationally are possible if we disregard the small phase differences between the structure factors of the conformations:

4

and,

5

If, as before, the number of components and the values for the relative concentrations s are known in advance for all times , Equation 4 reduces to a linear least-squares estimation which can be solved by a suitable linear matrix method, such as singular value decomposition (SVD). A similar statement can be made for Equation 5, if the values of the s instead of the s are known. These processes are considerably faster than the non-linear LS iterative methods generally required for Equations 2 and 3. Experience has shown (Krebs, unpublished observations) that the estimates produced by solving the approximate Equations 4 and 5 provide excellent initial parameter estimates for the non-linear optimizers needed to solve Equations 2 and 3 and are often useful on their own merits.


4. Determination of the Kinetic Model

At this stage the number of distinct components has been established and the values for and have been estimated. The next and potentially most difficult step is to establish the kinetic model, and to extract the desired structure amplitudes from the fitted parameters and . A number of degrees of freedom remain in the general kinetic model after the s have been determined. Chemical knowledge can often be used to eliminate a few of these parameters, but in general there will be additional parameters to be determined. We would like to obtain at least rough estimates of these parameters using a purely analytical approach.

One would like to be able to develop a figure-of-merit function to evaluate suggested values for these parameters and optimize their estimates, in a similar manner to that used above to extract the exponential coefficients. It is not clear that this can easily be done using recripical space analysis. The structure factor amplitudes of the desired intermediate conformations are immediately related to the values of and kinetic model parameters by means of the following relations easily derived from the linear approximations of Equations 4 and 5 as follows:

6

and therefore,

7

If the are estimated from the proposed kinetic model, this forms a system of equations with unknown values and can be solved for the values of by standard linear matrix methods. Specifically,

8

which implies

9

is one solution. Recall that the values of are determined or over-determined in a useful TC experiment via Equation 2, so this is normally the only solution.

Recall from Appendix 1 that in a first-order system of components, the time-dependence of the relative concentration of any component is a linear combination of or fewer exponential functions. The new parameters in Equation 7, the value of , represents the pre-exponential constant of the th exponential term in the expression for the relative concentration of the th component. These constants form an matrix independent of reflection index which is derived solely from the kinetic model parameters. This matrix is computed from the coefficients in the solution of the system of coupled, linear ordinary differential equations that expresses the time-dependence of each component in the proposed model to the is exponential functions and is invertible by construction.

The corresponding relation for the non-linear method is more complicated, and is probably best handled computationally by fitting instead of to the data again, although no new information is derived. The results of the linear approximation should be used as initial estimates for the non-linear method in order to reduce the computational cost.

Application of Equation 7 allows rapid generation of structure factor amplitudes from the already estimated values and the matrix of values that is defined by each proposed kinetic model. Thus, determination of the remaining kinetic parameters by optimizer iteration over parameter space could be computationally inexpensive were a suitable figure-of-merit function available.

An immediately obvious candidate for the figure-of-merit function is examination of the fitted structure factor amplitudes for plausibility. Careful examination of Equation 7 suggests, and experience reveals (Krebs, unpublished observations), that seriously incorrect values generate bogus values, and this affords one route for a plausibility check. A figure-of-merit function based on the condition

10

is one possibility. In the analysis of test data discussed below, the two potential figure-of-merit functions

11

and

12

were found to be potentially promising and allowed a subset of parameter space to be ruled out. Of these two, the first proved more successful in tests with simulated data.

A second approach involves real-space analysis and is potentially less automated. Changes in the parameters which determine the kinetic model result in changes in the values of , which can be used to produce electron density maps by standard crystallographic Fourier transform techniques. These maps can then be evaluated in real space by structural inspection or by explicit crystallographic refinement until satisfactory values for the remaining parameters in the model have been found. That is, an authentic intermediate must itself be a single, crystallographically refinable, macromolecular structure. This approach evaluates in real space the kinetic model and its associated parameters that were derived in reciprocal space.


5. Conclusions

Determination of relative concentrations of the desired intermediate components at the time points in a TC data set is a difficult problem, but one that can be solved by many methods. Experimental techniques such as time-resolved optical spectroscopy have hitherto proved troublesome, hence the desire for means of determining these values directly from the TC data.

The most promising approach, as in analysis of time-resolved spectroscopy data, is determination of a kinetic model and related parameters for the system under study. This is likely to be practical only for few-conformation systems, but these are likely to be the only systems studied by TC at present.

Kinetic model determination as described herein consists of two steps, each of which is based on a number of assumptions. The first step is determination of exponential decay constants under the assumption that all conformations interconvert obeying first-order or pseudo-first-order reaction laws.

Determination of the exponential decay constants proceeds by having an optimizer iteratively suggest these values to a submodule, which then attempts to fit pre-exponential coefficients to them. Aggregate errors from the fittings are used to evaluate the merit of the parameters proposed by the optimizer, which then uses these merit values to re-adjust its proposed parameters as part of its iterative technique. This two-stage technique allows global exponential fitting of TC data in time, where is the number of reflections fitted.

Additional parameters are required to fully determine the kinetic model. These consist of the initial concentrations of the conformations, and additional parameters, depending upon the model being analyzed. These parameters can be filled in by a combination of a priori chemical knowledge, other experimental techniques, and additional optimization analysis of the remaining parameters.

Once the kinetic model has been identified, the number of conformations in the system and the relative concentrations of these conformations for all time points is known, the structure of macromolecule may be determined by applying standard crystallographic techniques to the calculated structure factor amplitudes of the desired intermediates. The entire process is depicted diagrammatically in Figure 3.


Appendix 1: Mathematical Background

A general kinetic model for the interconversion of conformations has the form,

13

.The concentrations of the conformations obey the coupled ODE system,

14

where is the order of the kinetic pathway.

Reactions involving interconversion of conformations in large macromolecules are likely to obey first-order kinetics, i.e. in Equation 14. Then we can prove several useful properties of the system.

Lemma 1

If the concentrations of all conformations A in the generalized first-order reaction scheme Equation 13 except possibly some conformation B (where B is one of the ) obey the time dependence

15

for finitely many , then conformation B obeys this time dependence also.

Proof

By assumption, conformation B obeys the first-order reaction condition

16

where represents the rate constant by which some conformation decays into conformation B and represents the rate constants by which B decays into conformation . Then, if we substitute Equation 16 into Equation 15, we obtain

17

where and are new constants that replace and . The last line in the equation was written to emphasize that the equation can be written in standard form for a first-order linear differential equation, and therefore all solutions are known to be of the form

18

where For simplicity of notation, let . Then . This gives:

19

The last line has the same form as Equation 15, with one additional exponential.

(We have to assume to avoid a zero in the denominator of the integrand in Equation 19. This pathological state, which would have resulted in a time dependence term of the form , can be avoided mathematically by ensuring that all rate constants differ at least infinitesimally from any nonzero . As , the magnitudes of some terms of Equation 19 become very large and have sums which nearly cancel out when added to give a term of the form in the limit. Since this is a rather unlikely situation physically, Equation 19 is usually an excellent approximation. It does illustrate a potential problem, however, as very similar decay constants could result in arithmetic overflows in algorithmic implementations of Equation 19. Since decay constants capable of causing this problem are likely to be indistinguishable in the experimental data, this does not represent a serious limitation to the method, and in order to save space we will assume in the statement of Theorem 2 that differs infinitesimally from all in any real system.)

Theorem 2

If there are no cyclic pathways in Equation 13 (i.e., the scheme forms a directed acyclic graph) then the time concentration of all conformations obeys Equation 19.

Proof

Since there are no cyclic pathways and only finitely many conformations, there must exist initial conformations A which have no precursors. Then since we have assumed that all conformations obey simple first-order kinetics, these conformations must simply decay from starting concentrations with time-dependence .

Now, assume there is some conformation whose concentration does not obey the time-dependence given by Equation 19. Then, by the contrapositive of the lemma, there exists at least one other conformation whose concentration does not obey the time-dependence of Equation 19. Since there are no cyclic pathways, and since there are only finitely many conformations, we can continue by induction in this manner until we have shown that all conformations do not obey Equation 19.

But, we just stated that there exist initial conformations A which obey Equation 19. Therefore, all conformations must obey the time dependence given by Equation 19.

The proof of the lemma also gives us the following important theorem:

Theorem 3

In an acyclic first-order reaction scheme, the number of summation terms in Equation 19 is at most equal to the number of conformations in our system.

Proof

In mathematical graph theory, it is shown that the nodes in a directed acyclic graph can be visited in such a way that all of the ancestors, or inputs, of any state can be visited before that state itself need be visited (Cormen et al., 1990). Chemically, this means that, because our reaction scheme is acyclic, we can first compute the explicit time-dependencies of all precursors of a conformation without first knowing the time-dependency of the state itself.

We have shown that there are first-generation initial conformations A whose concentration varies as a single exponential. Graph theory tells us that we can find the time-dependencies of the concentrations of these second-generation conformations, whose only precursors are first-generation initial conformations. Inspection of the proof of the lemma reveals that these second-generation conformations can vary at most as the sum of two terms of Equation 19, and that each additional generation can vary at most as the sum of one term more than the previous generation. Since the number of generations in our scheme can be no greater than the number of conformations, the number of summation terms in Equation 19 is at most equal to the number of conformations in our system.

These statements are actually more general than this, and hold for some chemical systems with cycles, a fact which will not be proved here.

Return briefly to our original assumption of first-order kinetics. The useful properties of first-order reaction schemes just proved are due in large part to properties of the integrand of the exponential function. Systems which are not first-order will almost certainly not have these properties.

As an illustration, consider the simple decay of an initial conformation via a single, non-first-order path. For simplicity, we will again assume the simple kinetics of Equation 14 which in the case of an initial conformation degenerates to:

20

Solving this differential equation yields:

21

where is the order of the reaction and is some constant algebraically related to the initial concentration of the conformation. Thus, even for these relatively simple systems, precise expressions of the time-dependence of their concentrations will quickly become impossible as system complexity increases, and more radical approximations must be used for these systems than was necessary in our analysis of first-order systems here. Similar conclusions can be arrived at by consideration of virtually any other commonly used non-first-order kinetic model. Consequently, it is essential that the majority of reactions dealt with in TC data obey at least approximately first-order kinetics if our technique is to be useful.


Appendix 2: Extraction of Some Structures Without Complete Kinetic Information

Under some circumstances it is possible to obtain structures of only a portion of the conformations present. Consider the following reaction scheme:

22

In this scheme, conformation A has no logical ancestor in the graph of the reaction scheme. It can be thought of as a ìrootî conformation, and its concentration obeys the simple exponential decay law:

23

where is the sum of the time constants of all decay pathways of A. We know from the theorem in Appendix 1 that is one of the exponential constants determinable by our method of TC global exponential fitting. If we now think of A as part of a two-state chemical system:

24

where A is a root conformation and B describes the chemical state when the molecule is not in the A conformation, not necessarily a homogenous conformation. Then . From Equation 4,

25

and we can solve this system for (We also determine in the process, but this is not necessarily a homogeneous conformation and is thus less useful.). We refer to this process as the "peel-away" method, since successive conformations can be ìpeeled awayî with this method.

In principle, it would have also been possible to determine by setting up the conformation system in Equation 4. However, doing has several disadvantages. Simultaneously extracting all components requires accurate values of for all conformations present. This is normally only possible if the reaction scheme is well understood, and extracting structures of only one or two conformations using the two conformation system in Equation 24 is consequently more robust against errors in the relative concentrations. In addition, this "peel-away" method can be applied to obtain information on initial conformations even in the absence of a kinetic model. Each exponential rate constant can be tested to see if it represents an initial conformation with no significant back-pathways by attempting to "peel-off" the conformation and examining the resulting electron density map to see if it appears to represent homogenous protein density. Usually any reasonable initial concentration will do, thanks to the robustness of the method.

A second advantage of using a two-conformation system is that greater completeness of data can be achieved with this method. We required that Equation 4 be overdetermined when solving for the values of . For a three-conformation system, this means that each reflection must have data available for at least four time points in addition to phase information whereas when solving the two-conformation system, we only require information to be available at three time points in addition to phase information.

Once the root conformations have been determined, the "peel-away" method can then be applied recursively to the conformations further along in the graph of the reaction scheme by transforming the s appropriately to simulate two-component systems. In this way, any reaction scheme without back-pathways can be solved using the "peel-away" method, with all the advantages this entails.

One potential disadvantage of the "peel-away" method is that errors may accumulate as further and further conformations are "peeled-off" the TC data. This is easily corrected by refining previous conformations and then using calculated (and, presumably, error-free) structure factor amplitudes from these earlier stages to "peel-away" further conformations. In this way, errors can be kept approximately constant throughout the process.


Appendix 3. Relationship of Crystallographic Time-resolved Methods to Optical Spectroscopy Time-resolved Methods

Equation 5 looks so similar to the standard form for the exponential decays found in quantitative analysis of optical data that it may seem tempting at first to apply standard analysis techniques from time-resolved optical spectroscopy rather than the techniques we present here. One practice in time-resolved optical spectroscopy would express Equation 5 in matrix form (Hoff, 1994):

26

where is an matrix measured across time points and reflections, denotes a matrix of error terms, and is the singular value decomposition of the matrix . Then the exponential functions will generate the basis vectors for the matrix which will consist merely of that particular exponential sum evaluated at all time points. The number of exponentials is nominally equally to the number of conformations present in the system, so . With perfect data , and . In practice is estimated by examining the matrix , which is a diagonal matrix whose diagonal values give the relative amplitudes of the basis vectors encoded in matrices and . Some arbitrary constant is chosen (10-6 is common and comes from the expected round-off error in double precision division; 10-3 might be more reasonable for real data) and diagonal elements whose magnitude is less than this constant times the magnitude of the largest diagonal are considered equivalent to zero and discarded as noise. The number of remaining diagonal elements constitutes .

We could in principle determine the number of conformations in the TC data by simply taking an SVD of the matrix . This method has been applied with great success to time-resolved optical data (Hoff, 1994), but this method presents a number of serious difficulties when applied to TC data.

One problem is that TC data reduction algorithms generate widely distributed error estimates for individual reflections due to the wide range of errors in a typical TC dataset. There is no obvious way of incorporating error estimates into this method of rank determination by SVD. Consequently, very noisy data will be treated identically to high quality data, and this creates the potential of identifying spurious components by the method. This is not an issue in time-resolved spectroscopy, where error levels are comparable throughout the dataset. However, the method may be used in some TC applications to place a crude upper bound on .

A second problem is that the size of the matrix is several orders of magnitude larger than typical for time-resolved spectroscopy. This can present data storage problems, as SVD can have memory requirements. A more serious problem is that SVD, essentially a matrix inversion algorithm, is an method in terms of computational time. Experiment has shown that with typical TC data (Krebs, unpublished observations) this method requires orders of magnitude more computational time than a direct extraction of exponential decays by the global exponential fitting method outlined above, which is with the number of reflections.

A second method applied in optical spectroscopy (Knutson, 1983). involves the equivalent of simultaneous determination of both the exponential decay coefficients and also the pre-exponential amplitudes in Equation 3 in a single invocation of a non-linear least-squares optimizer. The resulting figure-of-merit function is then a simple sum of quadratic terms for each optimized parameter information. Partial derivatives of the figure-of-merit function with respect to all parameters are easily computable, and these could be used to accelerate optimization, at least in principle. This approach allows all parameters to be determined with a single invocation of an efficient least-squares optimizer, and is readily applicable in optical spectroscopy where the total number of parameters estimated is usually small. Again, typical TC data sets are unfortunately much larger, and might have observations for more than 8000 reflections over seven time points, so that the optimizer would be expected to estimate over or parameters. The types of Levenburg-Marquardt optimizers used for typical non-linear least-squares would store estimated second derivatives in a Hessian of values and attempt to invert this matrix; this is again an process with memory requirements. This type of optimization is inefficient with TC data because it implicitly assumes that the errors in all parameters are potentially related, so that no parameter can be considered well-estimated until all parameters are well-estimated. In fact, estimates of the s for any reflection are affected only by errors in estimates for the exponential decays, not by errors in the s for fits on any other reflections. Again, global exponential fitting takes advantage of this and is with the number of reflections, whereas the method described in this section would be very inefficient if applied to TC data.


We assumed above that the number of conformations in our TC data was known in advance, and indeed, the crystallographer frequently has some notion of a reasonable maximum number of conformations based on a priori knowledge of the system chemistry. Our method can be first applied with the estimated number of components set slightly larger than the anticipated number of components. The significance of each of the values of estimated by the process is tested by examination of the RMS values of the pre-exponentials and the magnitude of the s themselves. Insignificant s are eliminated and the method is re-applied with a reduced value of with the estimated values of the significant s as new starting values. This process is repeated until both and the s have been estimated to the satisfaction of the experimenter.


Appendix 4: Extraction of Partial Time-Resolved Phase Information from TC data

The dot product parameters in Equation 2, if known, enable us to determine the phase relationships more precisely (Moffat 1989). Now , where is the difference in phase angles between the structure factors corresponding to Ci and Cj. If we define , then

27

Thus, the absolute values of the relative phase differences between the structure factors can be determined, at least in principle, for all values of With three or more components, some information on signs can even be extracted by noting that . Then, if we must have , and by the triangle inequality. Therefore, if we obtain numerically that or we know that and vice-versa; only some combinations of signs and relative phase differences are possible. This is illustrated in Figure 2. Ideally, this partial information on phase angle differences would be fed into a real-space refinement process, to further enhance refinement and to assist in determination of the correct phases of the structure factors corresponding to each of the conformations. At the very least, Equation 27 could be used to place suitable constraints on the values of the dot products obtained numerically as parameters during optimization of Equation 2.


Figures

Figure 1: Diagram of structure factors varying over time. On the left are a series of structure factor corresponding to four different time points, labeled C1, C2, C3, C4. The diagram on the right illustrates how these structure factors might evolve over time. After Moffat 1989.


Figure 2: Diagram depicting how partial information on phase angle signs can be extracted. On the left is illustrated the fact that when two phase angles have the same sign, a third phase angle must also have the same sign and must have magnitude equal to the sum of the magnitudes of the first phase angles. The diagram on the right indicates what happens when the phase angles have different signs; in this case, a third phase angle has magnitude equal to the difference of the magnitudes of these phase angles. Comparision of the magnitudes of these three phase angles thus reveals partial information on their corresponding signs, as described in the text.


Figure 3: Schematic diagram of conformation extraction process. Shown here are the major steps involved in extraction of conformations from TC data. The "Peel-Away" method is a modification of the methods in this article and is described in Appendix 2.


References

  1. Brunger, A. T. 1992. Nature. 355:472.
  2. Cormen, T. H., Leiserson, C. E., Rivest, R. L. 1990. Introduction to algorithms. Cambridge, Mass: MIT Press.
  3. Douzou, P., Petsko, G. A. 1984. Adv. Protein Chem. 36:246.
  4. Fink, A. L., Petsko, G. A. 1981. Adv. Enzymol. 52:177.
  5. Genick, U. K. Genick, Borgstahl, G. E. O., Ng, K., Ren, Z., Pradervand, C., Burke, P. M., Srajer, V., Teng, T.-y., Schildkamp, W., McRee, D. E., Moffat, K., Getzoff, E. D. 1997. Science. 275:1471
  6. Greenhough, T., Helliwell, J. R. 1983. Prog. Biophys. Mol. Biol. 41:67.
  7. Helliwell, J. R. 1984. Rep. Prog. Phys. 47:1403.
  8. Helliwell, J. R. 1985. J. Mol. Struct. 130:63.
  9. Hoff, W. D., van Stokkum, I. H. M., van Ramesdonk, H. J., van Brederode, M. E., Brouwer, A. M., Fitch, J. C., Meyer, T. E., van Grondell, R., Hellingwerf, K. J. 1994. Biophys. J. 57: 1691.
  10. Krebs, W. G. Unpublished observations.
  11. Knutson, J. R., Beecham, J. M., Brand L. 1983. Chem . Phys. Lett. 102:501.
  12. Krebs, W. G. 1996. Masterís Thesis, Chicago: University of Chicago.
  13. Makinen, M. W., Fink, A. L. 1977. Anu. Rev. Biophys. Bioeng. 3:1.
  14. Moffat, K. 1989. Annu. Rev. Biophys. Biophys. Chem. 18:309.
  15. Ng, K., Getzoff, E. D., and Moffat, K. 1995. Biochemistry. 34:879.
  16. Press, W. H., Teukolsky, S. A., Vetterling, W. T., Flannery, B. P. 1992. Numerical Recipes in FORTRAN. Cambridge, England: Cambridge University Press.
  17. Ren, Z., Moffat, K. 1995. J. Appl. Crystalo. 28:461.
  18. Ren, Z. Unpublished observations.


Acknowledgements

I would like to thank Dr. Keith Moffat for the opportunity to work on this project; Dr. Keith Moffat, Dr. Marvin Makinen, and Dr. Dean Astumian for helpful comments on this manuscript; Dr. Keith Moffat, Dr. Zhong Ren, Dr. Vukica Srajer, Ben Perman, Dr. Xiaojin Yang, Dr. Feng Zhou, Dr. Kingman Ng, and Dr. Tsu-Yi Teng for many helpful discussions; Dr. Keith Moffat, Dr. Feng Zhou and Ben Perman for providing datasets used in the analyses.


Questions or comments about this web page should be sent to werner.krebs@yale.edu.

Copyright (C) 1997 Werner G. Krebs. All Rights Reserved.